区域生态规划中野生动物保护走廊规划研究
野生动物保护走廊规划是区域生态规划中的一项重要工作,是野生动物自然保护区的重要内容。野生动物保护走廊的规划,不仅能扩大野生动物的保护范围,使野生动物的迁徙、活动空间得到有效改善,有利于生态系统的稳定和良性发展,同时也是人类充分尊重动物、尊重自然的一个很好的途径。因此,在进行区域生态规划中,将野生动物保护走廊的规划作为其中的一个重要组成部分很有必要。
本文以浙江省台州市黄岩区平田生态乡规划中野生动物走廊的规划为例,运用地理信息系统技术评价影响野生动物的各种因素,探讨野生动物保护走廊的规划方法,为区域生态规划提供参考。
研究区概况
平田乡地处浙江省台州市黄岩区西部山区,距离台州市黄岩城区32公里。境域南北长、东西窄;地形以丘陵山地为主;最高峰黄毛山,海拔776米,平均海拔400多米;属中亚热带季风气候,夏少酷热,冬无严寒,雨水充沛,气候温和湿润。该乡经济不发达,是浙江省贫困乡之一。近年来,该乡政府为使平田乡彻底走出贫困的阴影,不断加强农业开发,先后发展杨梅、枇杷等经济林木2万多亩,这就使得人类对自然的干预面积和强度不断加强。为了在农业开发的同时做好生态环境的保护,该乡于2003年7月委托浙江省环境监测中心站进行生态乡规划。
进行生态乡规划,其核心是在使该乡发展生态经济的同时,保护现有的野生动物种类,扩大野生动物的活动范围,增加野生动物的数量,从而使人和自然更加协调发展。为此,在该乡的生态规划中,特别设计了野生动物保护走廊。
研究方法和因子选择
研究方法
在区域生态规划中进行野生动物保护走廊规划,传统的方法是基于经验的、定性的分析方法。在这些方法中,研究者基于经验选择影响野生动物生存的因子,并根据因子的分布和已有的经验,定性地确定某些范围为野生动物的保护走廊[1][2][3]。
为使研究更加科学准确,我们引入了GIS(地理信息系统)技术支持下的空间分析方法。
源于20世纪60年代的GIS技术,发展至今已日趋成熟,其功能也越来越强大。GIS的空间分析主要包括空间查询与量算、缓冲区分析、叠加分析、路径分析、空间插值、统计分类分析等。在本文研究中,我们主要采用在某些相关领域中已较为成熟的GIS定量空间分析方法,对区域内野生动物生存条件进行定量、定位的多因子综合评价。其中用到的GIS空间分析方法包括:空间插值方法、叠加分析法等。
空间插值[4]是一项基于数学运算的技术方法,它将离散点的测量数据转换为连续的数据曲面。空间插值的理论假设是,空间位置上越靠近的点,越可能具有相似的特征值,而距离越远的点,其特征值相似的可能性越小。
空间插值的方法和模型很多,目前常用的插值方法有距离倒数插值法、样条插值法、克吕格插值法、泰森多边形插值法、趋势面插值法等。根据范银贵在《空间插值方法在绘制降水量等值线中的应用》一文中对各种插值方法优缺点进行比较所得的经验[5],以及本研究中我们对各种插值方法的原理和实际计算结果进行的分析比较,我们选择距离倒数插值法进行空间插值。
由空间插值得到各影响因子在区域内的模拟值。然后,用GIS的叠加方法将各影响因子的模拟结果进行叠加分析,根据野生动物对环境因子的敏感性程度,来确定野生动物保护走廊的规划范围。
影响因子的选择和权重
在野生动物保护走廊的规划研究中,会涉及多种跨自然、人文等方面的因素。为了做好规划,首先必须对区域内影响野生动物生存的各因子进行选择和评价。
由于区域的地带性和非地带性因子的影响,造成区域内影响因子的复杂性。不同的区域有不同的影响因子和影响权重。通过对本试验区的综合分析,参照以往这方面的研究经验,我们选择了以下影响本区域野生动物保护走廊规划的主要因子:居民点、公路(含机耕路)、旅游景点、耕地、园地。图1显示了上述五个因子在区域内的分布情况。

图1 影响因子分布图
居民点:该因子是人类干扰自然环境的重要因子,也是影响野生动物的最大因素。
公路:一方面,公路上的车辆产生的噪声、废气污染会影响野生动物的生存环境;另一方面,公路的建设会阻断野生动物的迁徙,影响野生动物活动空间的连续性。
旅游景点:该因子影响野生动物生存主要包括景点建筑物及有关场所,还有游客的旅游活动对野生动物的影响。
耕地:耕地既包括水田,也包括旱地。大范围的耕地是限制野生动物活动的重要因素。
园地:园地包括果园、茶园、竹园等。相对于耕地,园地对野生动物活动的影响略微小一点,但在施肥、收获等阶段,这个因子也会有重要影响。
从对上述五个因子的分析情况看,影响程度从大到小可排序为:居民点、公路、旅游景点、耕地、园地。根据当地居民的日常经验,结合我们对当地的野外调查和专家以往的分析研究,我们确定各因子的权重,如表1。

需要说明的是,由于各影响因子本身随着社会经济的发展而变化,上面各因子的权重值也会相应的变化。例如旅游景点这个因子,随着旅游在人们日常生活中重要性的提升,旅游景点建筑风格的变化,旅游活动规模的扩大,在不考虑其他因子变化的情况下,它的权重值会相对增大。
研究步骤
资料准备
首先收集研究区有关影响野生动物活动的主要因素,即居民点、公路、旅游景点、耕地和园地等的详细资料,通过数字化仪和扫描矢量化将之准确地输入计算机,然后进行坐标变换,将上述资料转化为ARC/INFO格式的数据。
用ARC/INFO软件将已建立好坐标系统的居民点、公路、旅游景点、耕地和园地等矢量数据转换成网格数据。考虑到以上五个因子的尺度大小,由矢量数据转换成网格数据时,网格的尺寸取值为10*10(m2)。
空间插值的模拟分析
用ARC/INFO的空间插值分析工具,选择距离倒数插值法进行上述五个因子的空间插值,生成五个影响因子的网格图层。这五个图层就是试验区影响野生动物行为状况基本数据。
影响因子的叠加分析
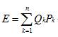
根据影响因子的权重值,按照下面的评价模型,对五个因子的插值模拟结果的图层数据进行叠加分析,得到研究区野生动物保护走廊总影响因子的总体评价结果。

其中:E为总体评价结果值,Qk是第k个因子的权重,Pk是第k个因子的评分值。
根据叠加分析的结果确定野生动物保护走廊范围
用ARC/INFO软件把上一步总体评价结果值E以等值线图的方式表示出来。根据E的分布,再考虑到野生动物保护走廊的连续性,我们确定了如图2所示的平田乡野生动物保护走廊。
在图2中可以看到,该野生动物保护走廊与穿越平田乡的一条乡间公路相交,即野生动物保护走廊被这条公路阻隔。事实上,若仅考虑E值的分布来确定野生动物保护走廊,就无法保证这种走廊一定能在所研究的区域中是连贯的,而野生动物保护走廊的本意是要有一定的连续性,因此,当这些影响因子非常明
显地阻隔了野生动物的活动空间,使保护走廊相互分隔,就需要通过一定的工程措施来保证野生动物保护走廊的连续性。在本规划项目中,我们在确定了图2所示的野生动物保护走廊的同时,提出了要在该走廊与公路相交的区域修建若干能保证野生动物通行的地下涵洞。

图2 平田乡野生动物保护走廊
地理信息系统具有很强的地学分析功能,本研究运用ARC/INFO软件,对影响野生动物活动的相关因子进行空间插值、叠加分析等处理,通过定量分析的方法,准确地对野生动物保护走廊进行规划,为生态规划提供了一个定量分析的范例。
由于初次尝试用GIS技术在生态规划中开展定量研究,有许多问题仍不完善,有待于以后的深入研究。这些问题主要包括:
第一,影响因子的选择。在本研究中,我们选择了农村居民点、公路、旅游景点、耕地、园地等五个因子,应该说这五个因子是影响野生动物活动的普遍性因子。但也必须注意到,不同的野生动物种类,影响其活动环境的因子是有差异的,在本次研究中我们还没有涉及因为野生动物种类的不同而有差异这一点。作为进一步的研究,可以分析野生动物种类不同带来的影响因子也不同,进而其保护走廊的差异。
第二,影响因子的权重。尽管在确定本研究五个因子的权重时我们已考虑多方面因素,但这毕竟是基于经验的考虑,故有必要对因子的权重进行研究。此外,当考虑区域内存在不同的野生动物时,除了上面第一点中所说的影响因子会有不同外,这些因子的权重值也是各不相同的。
第三,在具体划定野生动物保护走廊时,当需要有一定的工程措施来保证野生动物保护走廊的连贯性,或者为了使野生动物保护走廊更科学合理需要辅以一定的工程措施,还需要进行工程成本与保护效果之间的关系研究,因为在一般情况下,工程措施具有一定的可选择性。

首个反中微子排放地图:有助了解地球内部状况
“这幅反中微子地图或将开创一个全新的科学分支。该地图有点类似于哥伦布抵达新大陆后绘制的首个北美地图,最初的探险家们利用分散、零星的地理信息绘制成一幅地图,为之后的同僚们提供了一个综合的探险工具。” [详细]

大数据:21世纪的淘金热也是新污染源
网络是虚拟的,但是信息技术的环境成本,可不是虚拟的。来听听法国IT专家Jean-MarcPierson和LaurentLefvre如何解读大数据的污染性。 贸易、金融、卫生、交通、文化、科学大数据无所不在,对于许多人来说它代表21世纪的石油。 每天,大数据产业的版图不断扩张 [详细]

南京公布新能源汽车充电桩使用分布地图
新能源汽车好处不少,但一直以来都是只闻楼梯响不见人下来,尤其是在民用领域,大家对新能源汽车的认可度并不高,究其原因,充电不方便是关键因素。昨天,南京市交通运输局发布该市新能源汽车充电桩分布图,未来这些充电桩就像公共自行车一样,让你在家门口就 [详细]

微软研究院 Urban Air:大数据与空气质量
微软硅谷科技节 TechFair 2014 上演示的项目中包括一项由中国研究员研究的项目:Urban Air。 [详细]






